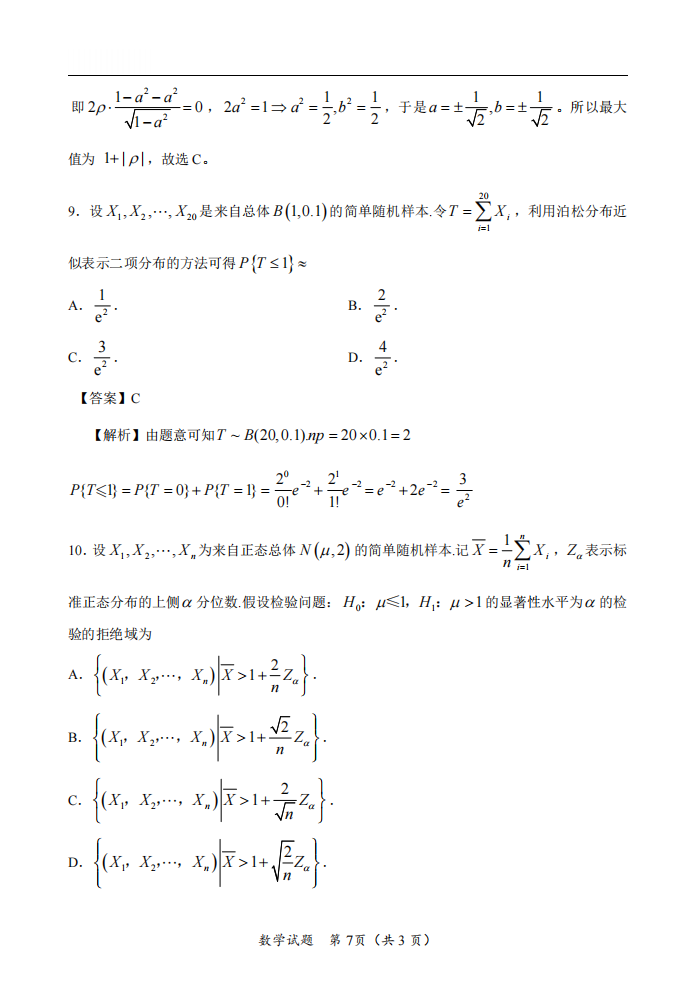
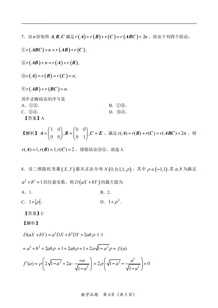
2025年研究生考试数学一试卷真题及答案解析
为了帮助考生第一时间估分,尽快了解2025年考研数学一的试题难度、考查范围,下面为大家整理了2025年研究生考试数学一试卷真题及答案,希望可以帮助到大家。
2025年研究生考试数学一试卷真题及答案
2025考研国家线预计在3月份公布,考生可以关注中国研究生招生信息网和报考学校官网的通知,以获取最新的考研国家线信息。同时,考生也可以根据往年的考研合格线做好复试或调剂的准备。
2024年考研国家线
2025年研究生考试成绩查询入口
入口▶中国研究生招生信息网
网址▶https://yz.chsi.com.cn/
2025年研究生考试数学一试卷真题及答案
2025年研究生考试数学一试卷真题及答案
2025考研国家线预计在3月份公布,考生可以关注中国研究生招生信息网和报考学校官网的通知,以获取最新的考研国家线信息。同时,考生也可以根据往年的考研合格线做好复试或调剂的准备。
2024年考研国家线
2025年研究生考试成绩查询入口入口▶中国研究生招生信息网
网址▶https://yz.chsi.com.cn/
2025年研究生考试数学一试卷真题及答案
