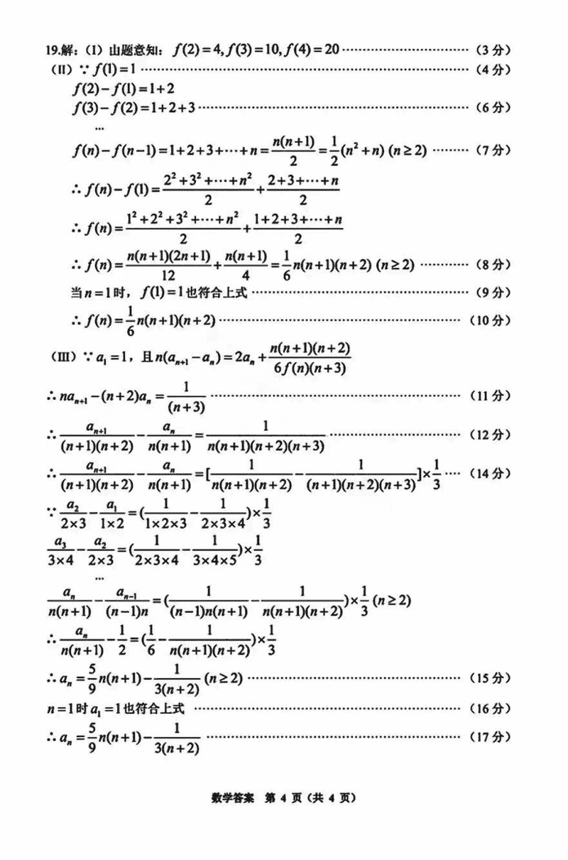
贵州毕节2025届高考第四次适应性考数学试题质量较高,题型多样,将作为考察考生对相应考点的掌握程度,考后将及时整理试题及答案解析相关信息,以供考生学习交流!
数学试题及答案解析








导读贵州毕节2025届高考第四次适应性考数学试题质量较高,题型多样,将作为考察考生对相应考点的掌握程度,考后将及时整理试题及答案解析相关信息,以供考生学习交流!数学试题及答案解析
贵州毕节2025届高考第四次适应性考数学试题质量较高,题型多样,将作为考察考生对相应考点的掌握程度,考后将及时整理试题及答案解析相关信息,以供考生学习交流!
数学试题及答案解析








贵州毕节2025届高考第四次适应性考地理试题质量较高,题型多样,将作为考察考生对相应考点的掌握程度,考后将及时整理试题及...
贵阳市七校2025届高三下学期联考(三)政治试题质量较高,题型多样,将作为考察考生对相应考点的掌握程度,考后将及时整理试...
贵阳市七校2025届高三下学期联考(三)语文试题质量较高,题型多样,将作为考察考生对相应考点的掌握程度,考后将及时整理试...
贵阳市七校2025届高三下学期联考(三)英语试题质量较高,题型多样,将作为考察考生对相应考点的掌握程度,考后将及时整理试...
贵阳市七校2025届高三下学期联考(三)物理试题质量较高,题型多样,将作为考察考生对相应考点的掌握程度,考后将及时整理试...
湖北新八校协作体2025年高三5月壮行历史试卷及参考答案