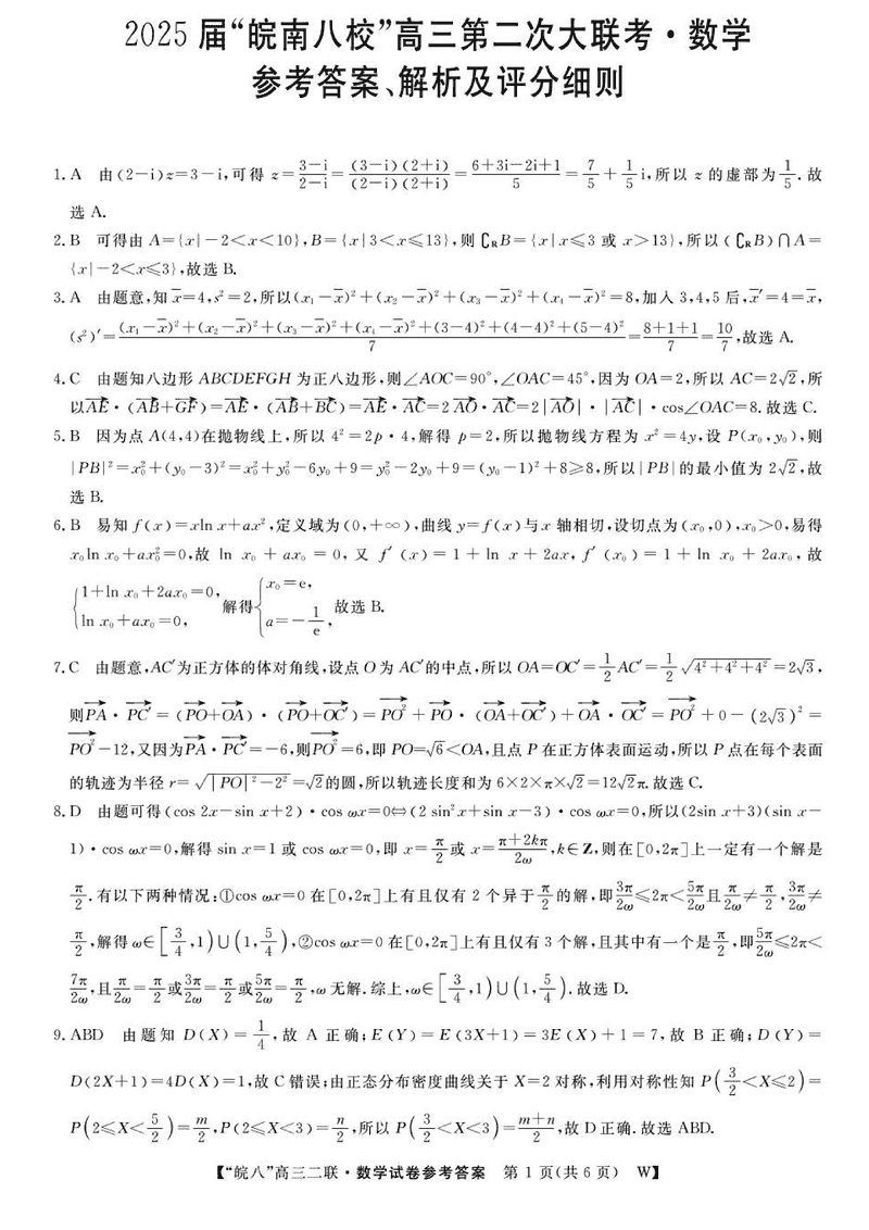
皖南八校2025届高三上学期第二次大联考数学试题质量较高,题型多样,将作为考察考生对相应考点的掌握程度,考后将及时整理试题及答案解析相关信息,以供考生学习交流!
数学试题及答案解析










导读皖南八校2025届高三上学期第二次大联考数学试题质量较高,题型多样,将作为考察考生对相应考点的掌握程度,考后将及时整理试题及答案解析相关信息,以供考生学习交流!数学试题及答案解析
皖南八校2025届高三上学期第二次大联考数学试题质量较高,题型多样,将作为考察考生对相应考点的掌握程度,考后将及时整理试题及答案解析相关信息,以供考生学习交流!
数学试题及答案解析










安徽省卓越县中联盟2024-2025学年高三下学期5月检测政治试题质量较高,题型多样,将作为考察考生对相应考点的掌握程度...
安徽省卓越县中联盟2024-2025学年高三下学期5月检测语文试题质量较高,题型多样,将作为考察考生对相应考点的掌握程度...
安徽省卓越县中联盟2024-2025学年高三下学期5月检测英语试题质量较高,题型多样,将作为考察考生对相应考点的掌握程度...
安徽省卓越县中联盟2024-2025学年高三下学期5月检测物理试题质量较高,题型多样,将作为考察考生对相应考点的掌握程度...
安徽省卓越县中联盟2024-2025学年高三下学期5月检测数学试题质量较高,题型多样,将作为考察考生对相应考点的掌握程度...
2025年湖北省新八校协作体高三5月联考政治试卷及参考答案