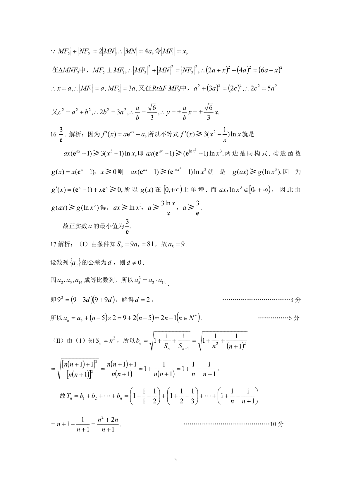
2023年安庆市高三模拟考试(二模)数学答案解析
2023年安庆市高三模拟考试(二模)数学答案解析是近日广大考及家长较为关心的考试内容,为方便考生考后及时查看2023年安庆市高三模拟考试(二模)数学答案解析详情,查漏补缺、弥补不足,本文整理了2023年安庆市高三模拟考试(二模)数学答案解析相关信息,提供考生以作参考!
2023年安庆市高三模拟考试(二模)数学答案解析
以上内容为2023年安庆市高三模拟考试(二模)数学答案解析详情,请关注大试题网为广大考生提供的其它相关内容。
